С обзиром на а повезани неусмерени граф представљена суседном листом адјЛист[][] са н чворови и м ивице са сваким чвором који има а различита ознака из 0 до н-1 и сваки адј[и] представља листу врхова повезаних са врхом и.
Направите а клон графа где сваки чвор у графу садржи цео број вал и низ ( комшије ) чворова који садржи чворове који су суседни тренутном чвору.
класа чвор {
вал: цео број
комшије: листа[чвор]
}
Ваш задатак је да клонирате дати граф и вратите референцу на клонирани граф.
Напомена: Ако вратите исправну копију датог графикона, излаз ће бити истинит; у супротном, ако копија није тачна, штампаће се нетачно.
Примери
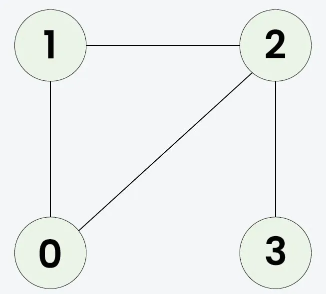
Улаз: н = 4 адјЛист[][] = [[1 2] [0 2] [0 1 3] [2]]
Излаз: истина
Објашњење:
![]()
Пошто је клонирани графикон идентичан оригиналном, излаз ће бити истинит.Улаз: н = 3 адјЛист[][] = [[1 2] [0] [0]]
Излаз: истина
Објашњење:
Пошто је клонирани графикон идентичан оригиналном, излаз ће бити истинит.
Садржај
- Зашто треба да пратимо посећене/клониране чворове?
- Како пратити посећене/клониране чворове?
- Како повезати клониране чворове?
- Како проверити да ли је клонирани графикон тачан?
- [Приступ 1] Коришћење БФС преласка - О(В+Е) време и О(В) простор
- [Приступ 2] Коришћење ДФС преласка - О(В+Е) време и О(В) простор
Зашто треба да пратимо посећене/клониране чворове?
Морамо да пратимо посећене или клониране чворове да бисмо избегли бесконачну рекурзију и сувишан рад приликом клонирања графа. Пошто графови могу да садрже циклусе (где чвор може да укаже на претходно посећени чвор) без праћења чворова које смо већ клонирали, функција клонирања би бескрајно поново посећивала исте чворове што би резултирало преливањем стека или нетачним дуплирањем.
Како пратити посећене/клониране чворове?
ХасхМап/Мап је потребан да би се одржали сви чворови који су већ креирани. Продавнице кључева : Референца/Адреса оригиналног чвора Продавнице вредности : Референца/Адреса клонираног чвора Направљена је копија свих чворова графа.
Како повезати клониране чворове?
Приликом посете суседним врховима а чвор ин добити одговарајући клонирани чвор за вас да то назовемо ИН сада посетите све суседне чворове за ин и за сваког суседа пронађите одговарајући клонски чвор (ако није пронађен креирајте га) и затим гурните у суседни вектор ИН чвор.
Како проверити да ли је клонирани графикон тачан?
Извршите БФС прелазак на оригинални граф пре клонирања, а затим поново на клонирани граф након што је клонирање завршено. Током сваког обиласка одштампајте вредност сваког чвора заједно са његовом адресом (или референцом). Да бисте проверили исправност клонирања, упоредите редослед чворова посећених у оба обиласка. Ако се вредности чворова појављују у истом редоследу, али се њихове адресе (или референце) разликују, то потврђује да је граф успешно и исправно клониран.
Истражите како да клонирати неусмерени граф укључујући графове са више повезаних компоненти користећи БФС или ДФС да бисте обезбедили потпуну дубоку копију свих чворова и ивица.
[Приступ 1] Коришћење БФС преласка - О(В+Е) време и О(В) простор
C++У БФС приступу граф се клонира итеративно коришћењем реда. Почињемо клонирањем почетног чвора и стављањем у ред. Док обрађујемо сваки чвор из реда, посећујемо његове суседе. Ако сусед још увек није клониран, креирамо клон који га чувамо на мапи и стављамо у ред за каснију обраду. Затим додајемо клон суседа на листу суседа клонова тренутног чвора. Овај процес се наставља ниво по ниво обезбеђујући да се сви чворови посећују по редоследу у ширину. БФС је посебно користан за избегавање дубоке рекурзије и ефикасно руковање великим или широким графовима.
#include #include #include #include using namespace std; // Definition for a Node struct Node { int val; vector<Node*> neighbors; }; // Clone the graph Node* cloneGraph(Node* node) { if (!node) return nullptr; map<Node* Node*> mp; queue<Node*> q; // Clone the source node Node* clone = new Node(); clone->val = node->val; mp[node] = clone; q.push(node); while (!q.empty()) { Node* u = q.front(); q.pop(); for (auto neighbor : u->neighbors) { // Clone neighbor if not already cloned if (mp.find(neighbor) == mp.end()) { Node* neighborClone = new Node(); neighborClone->val = neighbor->val; mp[neighbor] = neighborClone; q.push(neighbor); } // Link clone of neighbor to clone of current node mp[u]->neighbors.push_back(mp[neighbor]); } } return mp[node]; } // Build graph Node* buildGraph() { Node* node1 = new Node(); node1->val = 0; Node* node2 = new Node(); node2->val = 1; Node* node3 = new Node(); node3->val = 2; Node* node4 = new Node(); node4->val = 3; node1->neighbors = {node2 node3}; node2->neighbors = {node1 node3}; node3->neighbors = {node1 node2 node4}; node4->neighbors = {node3}; return node1; } // Compare two graphs for structural and value equality bool compareGraphs(Node* node1 Node* node2 map<Node* Node*>& visited) { if (!node1 || !node2) return node1 == node2; if (node1->val != node2->val || node1 == node2) return false; visited[node1] = node2; if (node1->neighbors.size() != node2->neighbors.size()) return false; for (size_t i = 0; i < node1->neighbors.size(); ++i) { Node* n1 = node1->neighbors[i]; Node* n2 = node2->neighbors[i]; if (visited.count(n1)) { if (visited[n1] != n2) return false; } else { if (!compareGraphs(n1 n2 visited)) return false; } } return true; } // Driver Code int main() { Node* original = buildGraph(); Node* cloned = cloneGraph(original); map<Node* Node*> visited; cout << (compareGraphs(original cloned visited) ? 'true' : 'false') << endl; return 0; }
Java import java.util.*; // Definition for a Node class Node { public int val; public ArrayList<Node> neighbors; public Node() { neighbors = new ArrayList<>(); } public Node(int val) { this.val = val; neighbors = new ArrayList<>(); } } public class GfG { // Clone the graph public static Node cloneGraph(Node node) { if (node == null) return null; Map<Node Node> mp = new HashMap<>(); Queue<Node> q = new LinkedList<>(); // Clone the starting node Node clone = new Node(node.val); mp.put(node clone); q.offer(node); while (!q.isEmpty()) { Node current = q.poll(); for (Node neighbor : current.neighbors) { // Clone neighbor if it hasn't been cloned yet if (!mp.containsKey(neighbor)) { mp.put(neighbor new Node(neighbor.val)); q.offer(neighbor); } // Add the clone of the neighbor to the current node's clone mp.get(current).neighbors.add(mp.get(neighbor)); } } return mp.get(node); } // Build graph public static Node buildGraph() { Node node1 = new Node(0); Node node2 = new Node(1); Node node3 = new Node(2); Node node4 = new Node(3); node1.neighbors.addAll(new ArrayList<> (Arrays.asList(node2 node3))); node2.neighbors.addAll(new ArrayList<> (Arrays.asList(node1 node3))); node3.neighbors.addAll(new ArrayList<> (Arrays.asList(node1 node2 node4))); node4.neighbors.addAll(new ArrayList<> (Arrays.asList(node3))); return node1; } // Compare two graphs for structure and value public static boolean compareGraphs(Node n1 Node n2 HashMap<Node Node> visited) { if (n1 == null || n2 == null) return n1 == n2; if (n1.val != n2.val || n1 == n2) return false; visited.put(n1 n2); if (n1.neighbors.size() != n2.neighbors.size()) return false; for (int i = 0; i < n1.neighbors.size(); i++) { Node neighbor1 = n1.neighbors.get(i); Node neighbor2 = n2.neighbors.get(i); if (visited.containsKey(neighbor1)) { if (visited.get(neighbor1) != neighbor2) return false; } else { if (!compareGraphs(neighbor1 neighbor2 visited)) return false; } } return true; } public static void main(String[] args) { Node original = buildGraph(); Node cloned = cloneGraph(original); boolean isEqual = compareGraphs(original cloned new HashMap<>()); System.out.println(isEqual ? 'true' : 'false'); } }
Python from collections import deque # Definition for a Node class Node: def __init__(self val=0): self.val = val self.neighbors = [] # Clone the graph def cloneGraph(node): if not node: return None # Map to hold original nodes as keys and their clones as values mp = {} # Initialize BFS queue q = deque([node]) # Clone the starting node mp[node] = Node(node.val) while q: current = q.popleft() for neighbor in current.neighbors: # If neighbor not cloned yet if neighbor not in mp: mp[neighbor] = Node(neighbor.val) q.append(neighbor) # Link clone of neighbor to the clone of the current node mp[current].neighbors.append(mp[neighbor]) return mp[node] # Build graph def buildGraph(): node1 = Node(0) node2 = Node(1) node3 = Node(2) node4 = Node(3) node1.neighbors = [node2 node3] node2.neighbors = [node1 node3] node3.neighbors = [node1 node2 node4] node4.neighbors = [node3] return node1 # Compare two graphs structurally and by values def compareGraphs(n1 n2 visited): if not n1 or not n2: return n1 == n2 if n1.val != n2.val or n1 is n2: return False visited[n1] = n2 if len(n1.neighbors) != len(n2.neighbors): return False for i in range(len(n1.neighbors)): neighbor1 = n1.neighbors[i] neighbor2 = n2.neighbors[i] if neighbor1 in visited: if visited[neighbor1] != neighbor2: return False else: if not compareGraphs(neighbor1 neighbor2 visited): return False return True # Driver if __name__ == '__main__': original = buildGraph() cloned = cloneGraph(original) result = compareGraphs(original cloned {}) print('true' if result else 'false')
C# using System; using System.Collections.Generic; // Definition for a Node public class Node { public int val; public List<Node> neighbors; public Node() { neighbors = new List<Node>(); } public Node(int val) { this.val = val; neighbors = new List<Node>(); } } class GfG { // Clone the graph public static Node CloneGraph(Node node) { if (node == null) return null; var mp = new Dictionary<Node Node>(); var q = new Queue<Node>(); // Clone the starting node var clone = new Node(node.val); mp[node] = clone; q.Enqueue(node); while (q.Count > 0) { var current = q.Dequeue(); foreach (var neighbor in current.neighbors) { // If neighbor not cloned clone it and enqueue if (!mp.ContainsKey(neighbor)) { mp[neighbor] = new Node(neighbor.val); q.Enqueue(neighbor); } // Add clone of neighbor to clone of current mp[current].neighbors.Add(mp[neighbor]); } } return mp[node]; } // Build graph public static Node BuildGraph() { var node1 = new Node(0); var node2 = new Node(1); var node3 = new Node(2); var node4 = new Node(3); node1.neighbors.AddRange(new[] { node2 node3 }); node2.neighbors.AddRange(new[] { node1 node3 }); node3.neighbors.AddRange(new[] { node1 node2 node4 }); node4.neighbors.AddRange(new[] { node3 }); return node1; } // Compare two graphs for structure and value public static bool CompareGraphs(Node n1 Node n2 Dictionary<Node Node> visited) { if (n1 == null || n2 == null) return n1 == n2; if (n1.val != n2.val || ReferenceEquals(n1 n2)) return false; visited[n1] = n2; if (n1.neighbors.Count != n2.neighbors.Count) return false; for (int i = 0; i < n1.neighbors.Count; i++) { var neighbor1 = n1.neighbors[i]; var neighbor2 = n2.neighbors[i]; if (visited.ContainsKey(neighbor1)) { if (!ReferenceEquals(visited[neighbor1] neighbor2)) return false; } else { if (!CompareGraphs(neighbor1 neighbor2 visited)) return false; } } return true; } public static void Main() { var original = BuildGraph(); var cloned = CloneGraph(original); var visited = new Dictionary<Node Node>(); Console.WriteLine(CompareGraphs(original cloned visited) ? 'true' : 'false'); } }
JavaScript // Definition for a Node class Node { constructor(val = 0) { this.val = val; this.neighbors = []; } } // Clone the graph function cloneGraph(node) { if (!node) return null; const mp = new Map(); const q = [node]; // Clone the initial node mp.set(node new Node(node.val)); while (q.length > 0) { const current = q.shift(); for (const neighbor of current.neighbors) { if (!mp.has(neighbor)) { mp.set(neighbor new Node(neighbor.val)); q.push(neighbor); } // Link clone of neighbor to clone of current mp.get(current).neighbors.push(mp.get(neighbor)); } } return mp.get(node); } // Build graph function buildGraph() { const node1 = new Node(0); const node2 = new Node(1); const node3 = new Node(2); const node4 = new Node(3); node1.neighbors = [node2 node3]; node2.neighbors = [node1 node3]; node3.neighbors = [node1 node2 node4]; node4.neighbors = [node3]; return node1; } // Compare two graphs structurally and by value function compareGraphs(n1 n2 visited = new Map()) { if (!n1 || !n2) return n1 === n2; if (n1.val !== n2.val || n1 === n2) return false; visited.set(n1 n2); if (n1.neighbors.length !== n2.neighbors.length) return false; for (let i = 0; i < n1.neighbors.length; i++) { const neighbor1 = n1.neighbors[i]; const neighbor2 = n2.neighbors[i]; if (visited.has(neighbor1)) { if (visited.get(neighbor1) !== neighbor2) return false; } else { if (!compareGraphs(neighbor1 neighbor2 visited)) return false; } } return true; } // Driver const original = buildGraph(); const cloned = cloneGraph(original); const result = compareGraphs(original cloned); console.log(result ? 'true' : 'false');
Излаз
true
[Приступ 2] Коришћење ДФС преласка - О(В+Е) време и О(В) простор
C++У ДФС приступу граф се клонира коришћењем рекурзије. Почињемо од датог чвора и истражујемо што је даље могуће дуж сваке гране пре него што се вратимо назад. Мапа (или речник) се користи за праћење већ клонираних чворова како би се избегла обрада истог чвора више пута и за руковање циклусима. Када први пут наиђемо на чвор, креирамо његов клон и чувамо га на мапи. Затим за сваки сусед тог чвора рекурзивно га клонирамо и додајемо клонираног суседа клону тренутног чвора. Ово осигурава да се сви чворови дубоко посећују пре враћања и да је структура графа верно копирана.
#include #include #include #include using namespace std; // Definition for a Node struct Node { int val; vector<Node*> neighbors; }; // Map to hold original node to its copy unordered_map<Node* Node*> copies; // Function to clone the graph Node* cloneGraph(Node* node) { // If the node is NULL return NULL if (!node) return NULL; // If node is not yet cloned clone it if (copies.find(node) == copies.end()) { Node* clone = new Node(); clone->val = node->val; copies[node] = clone; // Recursively clone neighbors for (Node* neighbor : node->neighbors) { clone->neighbors.push_back(cloneGraph(neighbor)); } } // Return the clone return copies[node]; } // Build graph Node* buildGraph() { Node* node1 = new Node(); node1->val = 0; Node* node2 = new Node(); node2->val = 1; Node* node3 = new Node(); node3->val = 2; Node* node4 = new Node(); node4->val = 3; node1->neighbors = {node2 node3}; node2->neighbors = {node1 node3}; node3->neighbors = {node1node2 node4}; node4->neighbors = {node3}; return node1; } // Compare two graphs for structural and value equality bool compareGraphs(Node* node1 Node* node2 map<Node* Node*>& visited) { if (!node1 || !node2) return node1 == node2; if (node1->val != node2->val || node1 == node2) return false; visited[node1] = node2; if (node1->neighbors.size() != node2->neighbors.size()) return false; for (size_t i = 0; i < node1->neighbors.size(); ++i) { Node* n1 = node1->neighbors[i]; Node* n2 = node2->neighbors[i]; if (visited.count(n1)) { if (visited[n1] != n2) return false; } else { if (!compareGraphs(n1 n2 visited)) return false; } } return true; } // Driver Code int main() { Node* original = buildGraph(); // Clone the graph Node* cloned = cloneGraph(original); // Compare original and cloned graph map<Node* Node*> visited; cout << (compareGraphs(original cloned visited) ? 'true' : 'false') << endl; return 0; }
Java import java.util.*; // Definition for a Node class Node { int val; ArrayList<Node> neighbors; Node() { neighbors = new ArrayList<>(); } Node(int val) { this.val = val; neighbors = new ArrayList<>(); } } public class GfG { // Map to hold original node to its copy static HashMap<Node Node> copies = new HashMap<>(); // Function to clone the graph using DFS public static Node cloneGraph(Node node) { // If the node is NULL return NULL if (node == null) return null; // If node is not yet cloned clone it if (!copies.containsKey(node)) { Node clone = new Node(node.val); copies.put(node clone); // Recursively clone neighbors for (Node neighbor : node.neighbors) { clone.neighbors.add(cloneGraph(neighbor)); } } // Return the clone return copies.get(node); } // Build graph public static Node buildGraph() { Node node1 = new Node(0); Node node2 = new Node(1); Node node3 = new Node(2); Node node4 = new Node(3); node1.neighbors.addAll(Arrays.asList(node2 node3)); node2.neighbors.addAll(Arrays.asList(node1 node3)); node3.neighbors.addAll(Arrays.asList(node1node2 node4)); node4.neighbors.addAll(Arrays.asList(node3)); return node1; } // Compare two graphs for structural and value equality public static boolean compareGraphs(Node node1 Node node2 HashMap<Node Node> visited) { if (node1 == null || node2 == null) return node1 == node2; if (node1.val != node2.val || node1 == node2) return false; visited.put(node1 node2); if (node1.neighbors.size() != node2.neighbors.size()) return false; for (int i = 0; i < node1.neighbors.size(); i++) { Node n1 = node1.neighbors.get(i); Node n2 = node2.neighbors.get(i); if (visited.containsKey(n1)) { if (visited.get(n1) != n2) return false; } else { if (!compareGraphs(n1 n2 visited)) return false; } } return true; } // Driver Code public static void main(String[] args) { Node original = buildGraph(); // Clone the graph Node cloned = cloneGraph(original); // Compare original and cloned graph boolean result = compareGraphs(original cloned new HashMap<>()); System.out.println(result ? 'true' : 'false'); } }
Python # Definition for a Node class Node: def __init__(self val=0 neighbors=None): self.val = val self.neighbors = neighbors if neighbors is not None else [] # Map to hold original node to its copy copies = {} # Function to clone the graph def cloneGraph(node): # If the node is None return None if not node: return None # If node is not yet cloned clone it if node not in copies: # Create a clone of the node clone = Node(node.val) copies[node] = clone # Recursively clone neighbors for neighbor in node.neighbors: clone.neighbors.append(cloneGraph(neighbor)) # Return the clone return copies[node] def buildGraph(): node1 = Node(0) node2 = Node(1) node3 = Node(2) node4 = Node(3) node1.neighbors = [node2 node3] node2.neighbors = [node1 node3] node3.neighbors = [node1 node2 node4] node4.neighbors = [node3] return node1 # Compare two graphs for structural and value equality def compareGraphs(node1 node2 visited): if not node1 or not node2: return node1 == node2 if node1.val != node2.val or node1 is node2: return False visited[node1] = node2 if len(node1.neighbors) != len(node2.neighbors): return False for i in range(len(node1.neighbors)): n1 = node1.neighbors[i] n2 = node2.neighbors[i] if n1 in visited: if visited[n1] != n2: return False else: if not compareGraphs(n1 n2 visited): return False return True # Driver Code if __name__ == '__main__': original = buildGraph() # Clone the graph using DFS cloned = cloneGraph(original) # Compare original and cloned graph visited = {} print('true' if compareGraphs(original cloned visited) else 'false')
C# using System; using System.Collections.Generic; public class Node { public int val; public List<Node> neighbors; public Node() { val = 0; neighbors = new List<Node>(); } public Node(int _val) { val = _val; neighbors = new List<Node>(); } } class GfG { // Dictionary to hold original node to its copy static Dictionary<Node Node> copies = new Dictionary<Node Node>(); // Function to clone the graph using DFS public static Node CloneGraph(Node node) { // If the node is NULL return NULL if (node == null) return null; // If node is not yet cloned clone it if (!copies.ContainsKey(node)) { Node clone = new Node(node.val); copies[node] = clone; // Recursively clone neighbors foreach (Node neighbor in node.neighbors) { clone.neighbors.Add(CloneGraph(neighbor)); } } // Return the clone return copies[node]; } // Build graph public static Node BuildGraph() { Node node1 = new Node(0); Node node2 = new Node(1); Node node3 = new Node(2); Node node4 = new Node(3); node1.neighbors.Add(node2); node1.neighbors.Add(node3); node2.neighbors.Add(node1); node2.neighbors.Add(node3); node3.neighbors.Add(node1); node3.neighbors.Add(node2); node3.neighbors.Add(node4); node4.neighbors.Add(node3); return node1; } // Compare two graphs for structural and value equality public static bool CompareGraphs(Node node1 Node node2 Dictionary<Node Node> visited) { if (node1 == null || node2 == null) return node1 == node2; if (node1.val != node2.val || node1 == node2) return false; visited[node1] = node2; if (node1.neighbors.Count != node2.neighbors.Count) return false; for (int i = 0; i < node1.neighbors.Count; i++) { Node n1 = node1.neighbors[i]; Node n2 = node2.neighbors[i]; if (visited.ContainsKey(n1)) { if (visited[n1] != n2) return false; } else { if (!CompareGraphs(n1 n2 visited)) return false; } } return true; } // Driver Code public static void Main() { Node original = BuildGraph(); // Clone the graph using DFS Node cloned = CloneGraph(original); // Compare original and cloned graph bool isEqual = CompareGraphs(original cloned new Dictionary<Node Node>()); Console.WriteLine(isEqual ? 'true' : 'false'); } }
JavaScript // Definition for a Node class Node { constructor(val = 0) { this.val = val; this.neighbors = []; } } // Map to hold original node to its copy const copies = new Map(); // Function to clone the graph using DFS function cloneGraph(node) { // If the node is NULL return NULL if (node === null) return null; // If node is not yet cloned clone it if (!copies.has(node)) { const clone = new Node(node.val); copies.set(node clone); // Recursively clone neighbors for (let neighbor of node.neighbors) { clone.neighbors.push(cloneGraph(neighbor)); } } // Return the clone return copies.get(node); } // Build graph function buildGraph() { const node1 = new Node(0); const node2 = new Node(1); const node3 = new Node(2); const node4 = new Node(3); node1.neighbors.push(node2 node3); node2.neighbors.push(node1 node3); node3.neighbors.push(node1 node2 node4); node4.neighbors.push(node3); return node1; } // Compare two graphs for structural and value equality function compareGraphs(node1 node2 visited = new Map()) { if (!node1 || !node2) return node1 === node2; if (node1.val !== node2.val || node1 === node2) return false; visited.set(node1 node2); if (node1.neighbors.length !== node2.neighbors.length) return false; for (let i = 0; i < node1.neighbors.length; i++) { const n1 = node1.neighbors[i]; const n2 = node2.neighbors[i]; if (visited.has(n1)) { if (visited.get(n1) !== n2) return false; } else { if (!compareGraphs(n1 n2 visited)) return false; } } return true; } // Driver Code const original = buildGraph(); // Clone the graph using DFS const cloned = cloneGraph(original); // Compare original and cloned graph console.log(compareGraphs(original cloned) ? 'true' : 'false');
Излаз
true
